portal informasi 2022

Contoh Surat Pernyataan Bermaterai 6000 / 15+ Contoh Surat Pernyataan dengan Penulisan yang Sopan ... : Pada kesempatan kali ini kita masih akan belajar materi mengenai surat, yaitu contoh surat pernyataan.

Contoh Surat Pernyataan Bermaterai 6000 / 15+ Contoh Surat Pernyataan dengan Penulisan yang Sopan ... : Pada kesempatan kali ini kita masih akan belajar materi mengenai surat, yaitu contoh surat pernyataan.
Contoh Surat Pernyataan Bermaterai 6000 / 15+ Contoh Surat Pernyataan dengan Penulisan yang Sopan ... : Pada kesempatan kali ini kita masih akan belajar materi mengenai surat, yaitu contoh surat pernyataan.

Contoh Surat Pernyataan Bermaterai 6000 / 15+ Contoh Surat Pernyataan dengan Penulisan yang Sopan ... : Pada kesempatan kali ini kita masih akan belajar materi mengenai surat, yaitu contoh surat pernyataan.. Surat pernyataan bermaterai adalah surat yang dibuat/ditulis oleh seseorang yang mana untuk menerangkan dirinya dalam keadaan tertentu yang mana akan terdapat tanda tangan diatas meterai. Yang membuat pernyataan, materai 6000. Surat pernyataan pada dasarnya dibuat untuk memperkuat pernyataan lisan agar memiliki payung hukum. Yang bertanda tangan di bawah ini menerangkan dengan sesungguhnya bahwa bandung, 21 januari 2020 pihak i pihak ii. Contoh surat pernyataan resmi sangat penting untuk menunjukkan keseriusan dan kebenaran suatu fakta serta untuk tugas dan hal yang penting.

Contoh surat pernyataan bermaterai 6000 gawe cv mp3 & mp4. Tujuan & manfaat dari surat pernyataan adalah sebagai penjamin kepastian hokum. Dengan surat ini, kita dapat mengikat seseorang untuk keperluan sesuai dengan kasus atau pernyataan yang ingin di lakukan. Format surat pernyataan surat pernyataan diketik dengan komputer, bermaterai 6000 dan dibubuhi tanda tangan. Surat pernyataan bermaterai 6000 bahwa kriteria barang adalah ;

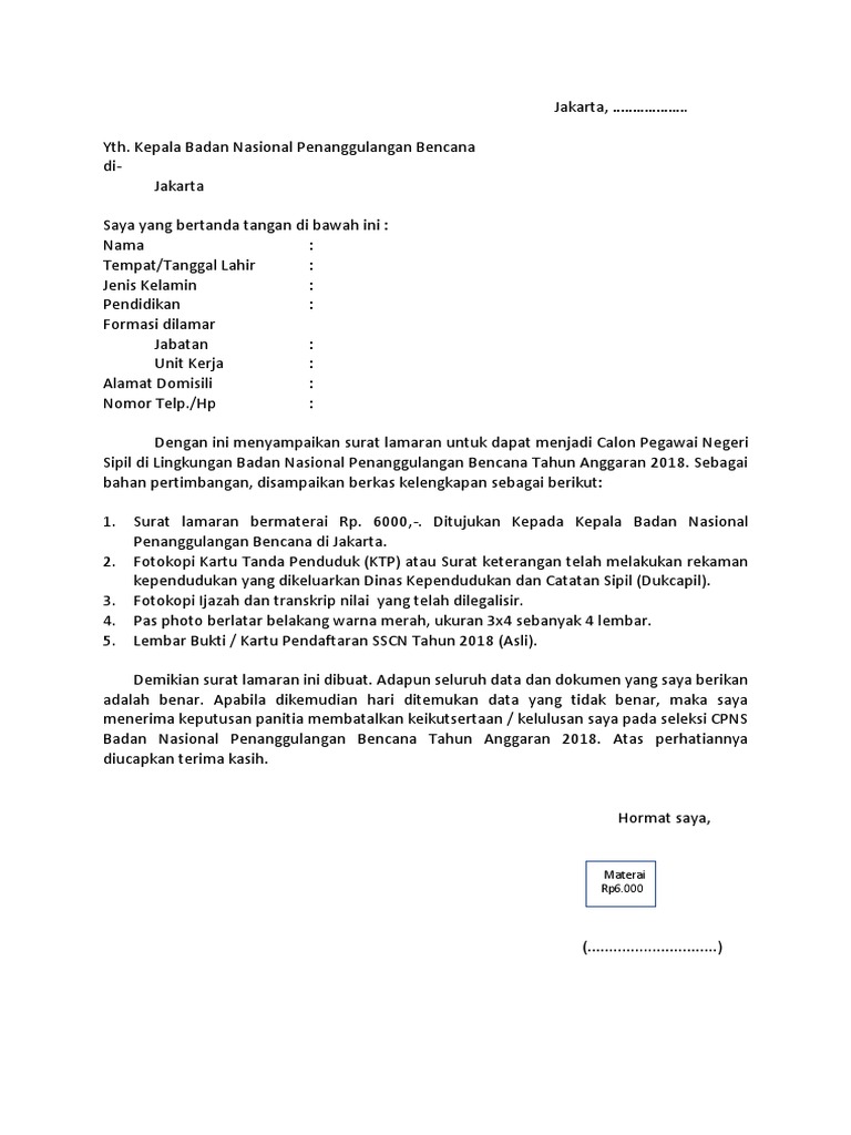
Great Contoh Surat Pernyataan Penghasilan Orang Tua ...
Great Contoh Surat Pernyataan Penghasilan Orang Tua ... from gawecv.com
Hal ini karena mengingat bahwa orang yang awam sekalipun mayoritas pernah membuatnya untuk keperluan tertentu. Seperti apa contoh surat pernyataan yang benar? (sudah kami sediakan berupa file silahkan di lihat dulu). Yang dimaksud dengan surat pernyataan kesanggupan adalah surat pernyataan yang menyatakan bahwa pembuat pernyataan sanggup melaksanakan surat pernyataan ini ditandatangani oleh pembuat pernyataan di atas kertas bermaterai 6000. Jelas terlihat bahwa di bagian atas sendiri terdiri dari informasi dari orang yang memberikan pernyataan. Dengan surat ini, kita dapat mengikat seseorang untuk keperluan sesuai dengan kasus atau pernyataan yang ingin di lakukan. Biasanya orang melakukan transaksi kontrak rumah ini lewat sebuah surat perjanjian bermaterai. Berisi contoh surat pernyataan lengkap dengan formatnya.

Surat pernyataan bermaterai 6000 bahwa kriteria barang adalah ;

(sudah kami sediakan berupa file silahkan di lihat dulu). Pada kesempatan kali ini kita masih akan belajar materi mengenai surat, yaitu contoh surat pernyataan. Yang bertanda tangan di bawah ini: Hal ini karena mengingat bahwa orang yang awam sekalipun mayoritas pernah membuatnya untuk keperluan tertentu. Proses kontrak rumah harus melalui prosedur tertentu. Satu contoh draft di atas adalah pernyataan keaslian yang dibuat untuk kepentingan urusan kampus. Nah, surat pernyataan adalah salah dokumen yang dilindungi oleh negara, dengan syarat bermaterai. Ada banyak jenis surat pernyataan. Biasanya surat ini dilengkapi dengan materai sebagai penguat kepercayaan dan agar terlihat kredibel. Setelah beberapa waktu lalu kita belajar mengenai contoh surat resmi, dan surat pribadi. Surat pernyataan kinerja gbpns dipakai guna melengkapi persyaratan pengajuan tunjangan fungsional guru (tfg) bukan pegawai negeri salah satu persyaratan yang harus dipenuhi adalah surat pernyataan kinerja gbpns yang dibuat oleh dan ditandatangani dengan bermaterai 6000. Dengan surat ini, kita dapat mengikat seseorang untuk keperluan sesuai dengan kasus atau pernyataan yang ingin di lakukan. Yang membuat pernyataan, materai 6000.

Yang membuat pernyataan, materai 6000. Ada banyak jenis surat pernyataan. Dalam proses jual beli tanah atau rumah warisan tersebut, semua ahli waris tidak perlu hadir. Nah, surat pernyataan adalah salah dokumen yang dilindungi oleh negara, dengan syarat bermaterai. Contoh surat pernyataan ahli waris diperlukan jika ada ahli waris yang tinggal berjauhan dengan tanah atau rumah yang akan dijual, sehingga sulit melakukan penandatanganan akta jual beli.

Contoh Surat Pernyataan Keaslian Naskah
Contoh Surat Pernyataan Keaslian Naskah from 2.bp.blogspot.com
Sebagaimana surat pernyataan pada umumnya, surat pernyataan diri dibuat dan wajib ditandatangani sendiri oleh pembuat pernyataan diatas kertas bermaterai cukup (materai rp 6000). Proses kontrak rumah harus melalui prosedur tertentu. Surat pernyataan pada dasarnya dibuat untuk memperkuat pernyataan lisan agar memiliki payung hukum. Yang membuat pernyataan, materai 6000. Yang bertanda tangan di bawah ini: Surat pernyataan bermaterai 6000 bahwa kriteria barang adalah ; 15 contoh surat pernyataan dengan penulisan yang sopan. Seperti apa contoh surat pernyataan yang benar?

Contoh surat pernyataan tersebut sudah dibuat dengan benar dan baik, sehingga bisa digunakan sebagai acuan atau contoh surat pernyataan.tentunya, masih banyak lagi contoh surat pernyataan yang bisa dijadikan referensi seperti surat pernyataan kesalahan,surat pernyataan bermaterai.

Yang bertanda tangan di bawah ini menerangkan dengan sesungguhnya bahwa bandung, 21 januari 2020 pihak i pihak ii. Contoh surat pernyataan ahli waris diperlukan jika ada ahli waris yang tinggal berjauhan dengan tanah atau rumah yang akan dijual, sehingga sulit melakukan penandatanganan akta jual beli. Pada kesempatan kali ini kita masih akan belajar materi mengenai surat, yaitu contoh surat pernyataan. Ada contoh surat pernyataan kesanggupan, surat pernyataan kerja, surat pernyataan menikah, surat pernyataan sikap, dan lain sebagainya. Surat pernyataan di atas kertas bermaterai rp. Tujuannya adalah agar tidak merugikan kedua belah pihak seandainya pernyataan yang disampaikan merupakan kebohongan atau tidak ditepati. Berikut ini beberapa contoh surat pernyataan cerai. Surat pernyataan pada dasarnya dibuat untuk memperkuat pernyataan lisan agar memiliki payung hukum. Contoh surat pernyataan tersebut sudah dibuat dengan benar dan baik, sehingga bisa digunakan sebagai acuan atau contoh surat pernyataan.tentunya, masih banyak lagi contoh surat pernyataan yang bisa dijadikan referensi seperti surat pernyataan kesalahan,surat pernyataan bermaterai. Yang dimaksud dengan surat pernyataan kesanggupan adalah surat pernyataan yang menyatakan bahwa pembuat pernyataan sanggup melaksanakan surat pernyataan ini ditandatangani oleh pembuat pernyataan di atas kertas bermaterai 6000. Setelah beberapa waktu lalu kita belajar mengenai contoh surat resmi, dan surat pribadi. Terimakasih telah berkunjung di gawe cv pada post contoh surat pernyataan bermaterai 6000 cpns. Surat pernyataan (sp) bermaterai :

Dalam proses jual beli tanah atau rumah warisan tersebut, semua ahli waris tidak perlu hadir. Seperti surat pernyataan kerja bermaterai, perjanjian, dan pernyataan belum menikah. Satu contoh draft di atas adalah pernyataan keaslian yang dibuat untuk kepentingan urusan kampus. Contoh surat pernyataan adalah surat yang digunakan untuk menyatakan sesuatu kepada penerima. 15 contoh surat pernyataan dengan penulisan yang sopan.

Cara Membuat Surat Kuasa yang Baik dan Benar Beserta ...
Cara Membuat Surat Kuasa yang Baik dan Benar Beserta ... from idcloudhost.com
(sudah kami sediakan berupa file silahkan di lihat dulu). Ada contoh surat pernyataan kesanggupan, surat pernyataan kerja, surat pernyataan menikah, surat pernyataan sikap, dan lain sebagainya. Copryright © image inspiration | sitemap. Surat pernyataan adalah surat yang dibuat untuk menyatakan bahwa seseorang telah atau tidak pernah karena itu, untuk membuat surat pernyataan biasanya disertakan juga meterai 6000 dan ditulis di kertas segel. Home » contoh surat » contoh surat pernyataan bermaterai 6000 cpns. Contoh surat pernyataan ahli waris diperlukan jika ada ahli waris yang tinggal berjauhan dengan tanah atau rumah yang akan dijual, sehingga sulit melakukan penandatanganan akta jual beli. Seperti apa contoh surat pernyataan yang benar? Surat pernyataan ini seringkali dipakai oleh perusahaan (penyedia kerja) atau instansi pemerintah.

Copryright © image inspiration | sitemap.

Contoh surat pernyataan bersedia ditempatkan dimana saja. Home » contoh surat » contoh surat pernyataan bermaterai 6000 cpns. Semoga dapat memberikan manfaat yang berharga bagi anda dan jangan lupa untuk share postingan contoh surat. Biasanya surat ini dilengkapi dengan materai sebagai penguat kepercayaan dan agar terlihat kredibel. Surat pernyataan (sp) bermaterai : 15 contoh surat pernyataan dengan penulisan yang sopan. Seperti surat pernyataan kerja bermaterai, perjanjian, dan pernyataan belum menikah. Pada keadaan tersebut kita harus siap jasmani ataupun rohani untuk mengerjakan ataupun. Surat pernyataan ini seringkali dipakai oleh perusahaan (penyedia kerja) atau instansi pemerintah. Copryright © image inspiration | sitemap. Format surat pernyataan surat pernyataan diketik dengan komputer, bermaterai 6000 dan dibubuhi tanda tangan. Tujuannya adalah agar tidak merugikan kedua belah pihak seandainya pernyataan yang disampaikan merupakan kebohongan atau tidak ditepati. Contoh surat pernyataan tersebut sudah dibuat dengan benar dan baik, sehingga bisa digunakan sebagai acuan atau contoh surat pernyataan.tentunya, masih banyak lagi contoh surat pernyataan yang bisa dijadikan referensi seperti surat pernyataan kesalahan,surat pernyataan bermaterai.

Advertisement

Iklan Sidebar